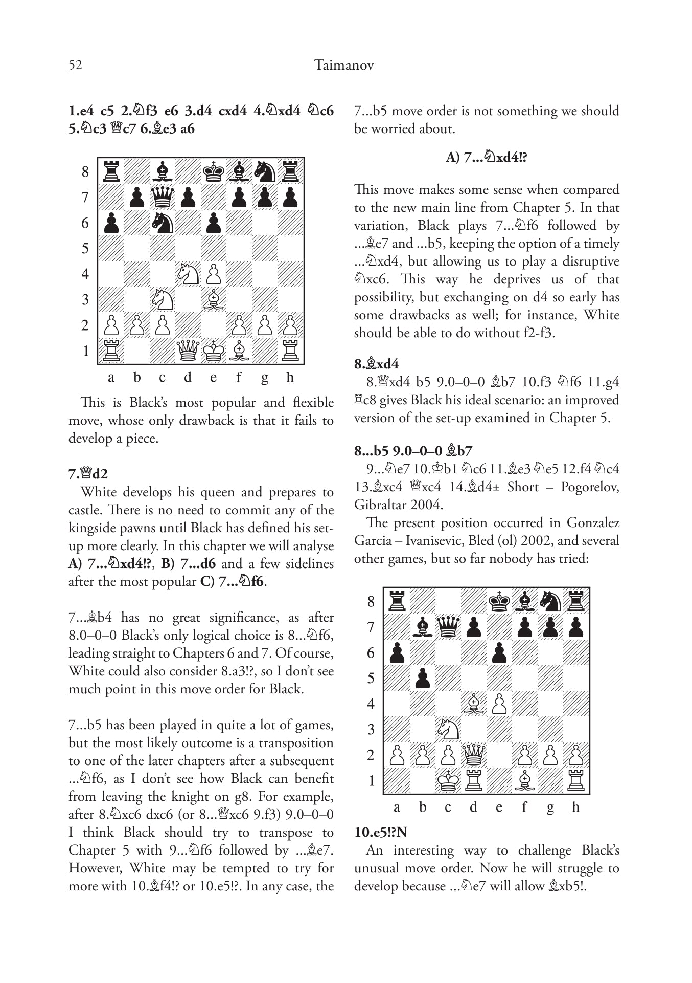
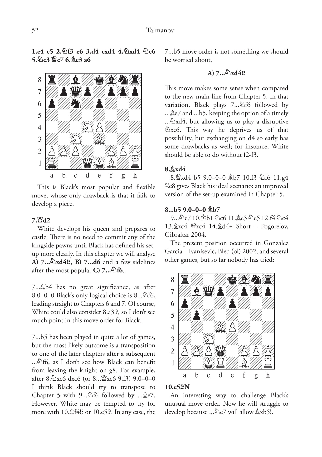
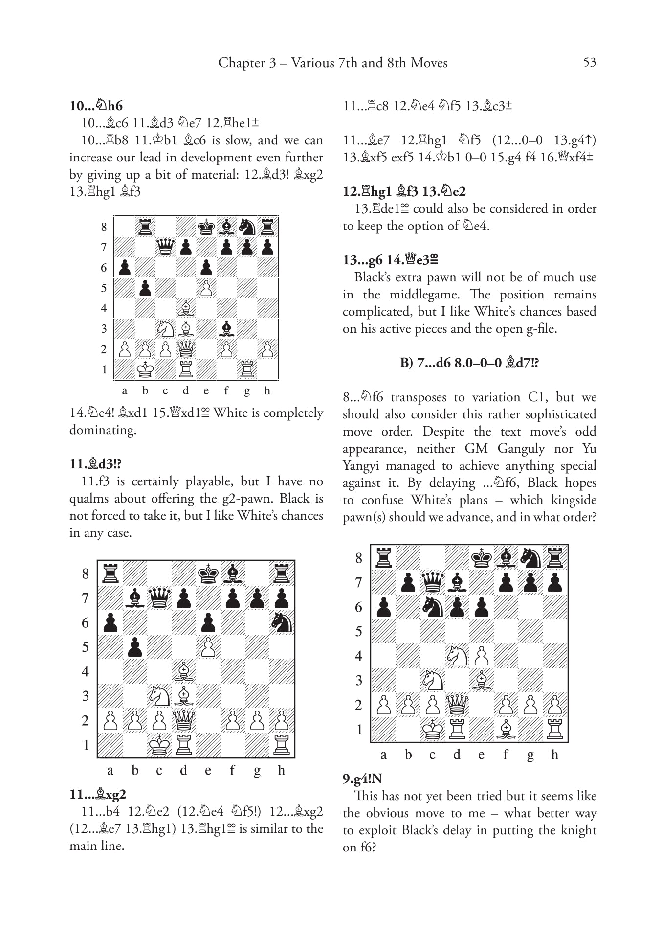
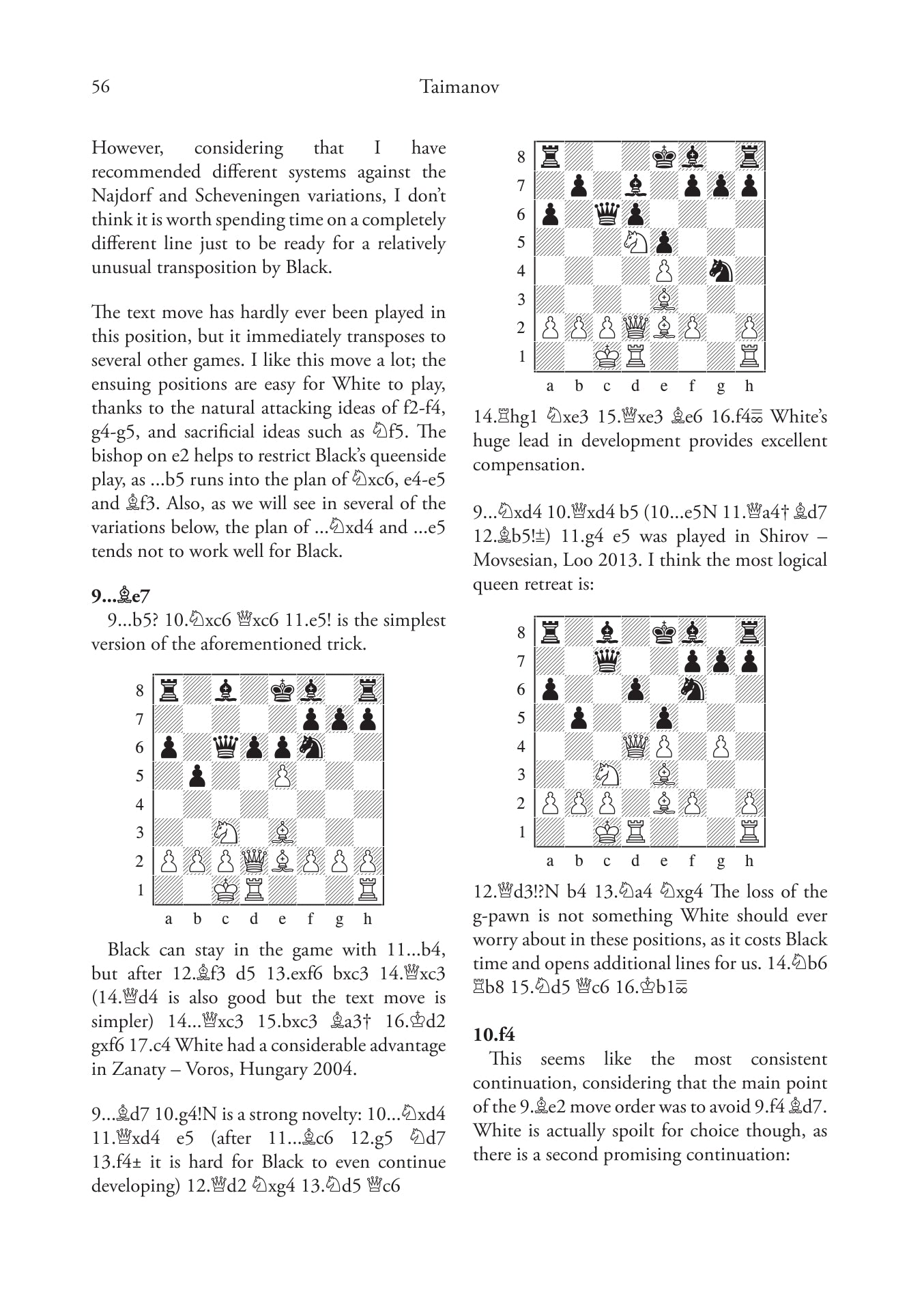
Großmeister-Repertoire - 1.e4 gegen Sizilianisch III von Parimarjan Negi (Softcover)
Der vierte Band der Serie Grandmaster Repertoire - 1.e4 bietet ein hochkarätiges Repertoire gegen die Systeme Taimanov, Kan und Scheveningen sowie alle anderen sizilianischen Linien, die in den vorherigen Bänden nicht behandelt wurden. Negi nimmt die etablierten Hauptlinien und versieht sie mit seinen eigenen innovativen Ideen, was das Repertoire zu einem Alptraum für Sizilianischspieler und zu einer unverzichtbaren Ergänzung der Bibliothek jedes ambitionierten Spielers macht.
Parimarjan Negi ist ein ehemaliges Wunderkind und der zweitjüngste Spieler aller Zeiten, der den Großmeistertitel erhalten hat. Er war 2012 Asienmeister und spielte an Brett 1 für das indische Team, das bei der Olympiade in Tromsø 2014 die Bronzemedaille gewann.
ISBN 978-1-78483-023-6 - 488 Seiten - Erschienen am 31. August 2016
Rezensionen zu den vorherigen Bänden:
"Seine Bücher über den Sizilianer sind absolut fabelhaft."
GM Simen Agdestein, New in Chess
"Es ist so gut! Es zeigt alles, was man braucht, um eine Weltklasse-Vorbereitung zu produzieren.... Negis Buch ist absolut umwerfend. Mir fiel immer wieder die Kinnlade herunter bei den Angriffsideen, die Negi darlegt.... Wieder einmal ist dies ein Werk von allerhöchster Qualität."
GM Matthew Sadler, New in Chess
"Wenn ich ein neues Buch rezensiere, rezensiere ich HARD, und ich gehe aus dem Weg, um nach Löchern zu suchen. Das macht es für jeden Autor schwierig, meine hohen Erwartungen zu erfüllen, aber Negi beeindruckt mich weiterhin.... Ein weiteres Negi-Buch, weitere fünf Sterne."
GM David Smurdon
Fügen Sie eine Geschenkverpackung, eine Gravur – oder beides – hinzu, um es wirklich besonders zu machen!
Spürbare Präzision
Ausgewogenes Gewicht, sanftes Gleiten, perfekte Proportionen – jedes Detail ist durchdacht













